RbiSearchHeader

Press escape key to go back

Past Searches

Page
Official Website of Reserve Bank of India

RbiAnnouncementWeb

RBI Announcements
RBI Announcements

Asset Publisher

138165757

Chapter II: Financial Institutions: Soundness and Resilience

The Indian banking sector continued to remain robust with strong capital and liquidity buffers, improved asset quality and steady profitability. Macro stress test results reaffirmed the resilience of SCBs to adverse macroeconomic shocks. The NBFC sector remained resilient with improvement in asset quality alongside healthy capital and profitability ratios. Interconnectedness among different categories of financial entities, in terms of the outstanding bilateral exposures, continued to grow at a strong pace.

Introduction

2.1 The Indian financial sector remained strong and resilient amid global headwinds, as reflected by financial parameters. The scheduled commercial banks (SCBs), urban cooperative banks (UCBs) and non-banking financial companies (NBFCs) remained sound with robust capital and liquidity buffers, demonstrating ongoing improvement in asset quality, and maintaining steady profitability. Stress test results at the aggregate level reaffirmed the resilience of these financial entities to withstand losses under adverse scenarios and to maintain capital buffers well above regulatory minimum levels. Asset management companies, clearing corporations and insurance sector also remained sound.

2.2 This chapter presents stylised facts, analyses on the health of the domestic financial sector and stress tests conducted to assess the resilience of the financial system. Section II.1 outlines the performance of SCBs in India through various parameters, viz., business mix; asset quality; credit concentration; earnings; profitability and capital adequacy. Results of macro stress tests, sensitivity analyses and bottom-up stress tests performed to evaluate the resilience of SCBs under adverse scenarios are also presented. Sections II.2 and II.3 describe the financial performance of UCBs and NBFCs, respectively, including their resilience under various stress scenarios. Sections II.4 and II.5 examine the soundness and resilience of mutual funds and clearing corporations, respectively. Section II.6 covers a detailed analysis of the network structure and connectivity of the Indian financial system as well as contagion analysis under stress scenarios. Section II.7 concludes the chapter with assessment of the insurance sector.

II.1 Scheduled Commercial Banks (SCBs)1 2 3 4

2.3 SCBs' asset quality continued to improve while they maintained stable capital and liquidity positions, as reflected in data as of September 2025. However, year-on-year growth in net interest income has remained muted over the first half of 2025-26, impacting the profit growth (Table 2.1).

Table 2.1: Health Tracker Heat Map – Scheduled Commercial Banks (SCBs) [Provides relative health of the sector based on last 10-year data]

II.1.1 Deposit and Credit

2.4 SCBs’ aggregate deposit growth (y-o-y) continued to fall in successive half years since March 2024 and reached 9.8 per cent as of end-September 2025, led by sharp deceleration for private sector banks (PVBs) (Chart 2.1 a). The fall in share of CASA deposits and rise in share of time deposits across bank groups continued (Chart 2.1 b).

2.5 SCBs’ credit growth remained steady at 11.0 per cent y-o-y at end-September 2025 (Chart 2.1 c). Credit growth of PSBs fell marginally but PVBs more than compensated with higher growth. However, growth of PSBs continued to outpace that of PVBs. In sectoral composition, the shares of agricultural and industrial loans in aggregate credit contracted, while those of services and personal loans expanded over the previous year (Chart 2.1 d). Industrial loans growth for PVBs and personal loans growth for PSBs showed a sharp rise in September 2025 (Chart 2.1 e).

Chart 2.1: Deposit and Credit Profile of SCBs (Contd.)

Chart 2.1: Deposit and Credit Profile of SCBs (Concld)

2.6 Within personal loans, SCBs’ credit growth (y-o-y) in vehicle/ auto loans and other personal loans increased in September 2025 as compared with March 2025, amid broad-based deceleration in other sub-segments (Chart 2.1 f). Personal loans continued to be dominated by housing loans (share 45.6 per cent) followed by other personal loans (37.3 per cent).

II.1.2 Asset Quality

2.7 PSBs and FBs led the continued improvement in asset quality. At the aggregate level, the GNPA ratio of SCBs declined to a fresh multi-decadal low of 2.2 per cent, and their NNPA ratio remained at a record low of 0.5 per cent (Chart 2.2 a). PSBs, who accounted for 54.1 per cent of SCBs’ loans, continued to contribute more than three-fifth share in SCBs’ GNPAs, though their share has continuously declined with corresponding rise in the share of PVBs over the last year (Chart 2.2 b).

2.8 The half-yearly slippage ratio, measuring new accretions to NPAs as a share of standard advances at the beginning of the period, remained stable at 0.7 per cent, though it increased marginally for PVBs (Chart 2.2 c). The provisioning coverage ratio (PCR) of PSBs continued to increase, while it declined for PVBs and FBs in September 2025 (Chart 2.2 d). Write-off ratio5 decreased for PSBs, while it shot up in case of PVBs and FBs in the current financial year (Chart 2.2 e).

Chart 2.2: Select Asset Quality Indicators (Contd.)
Chart 2.2: Select Asset Quality Indicators (Concld.)

II.1.3 Sectoral Asset Quality

2.9 Credit quality continued to improve across broad economic sectors. The GNPA ratio for agriculture sector has been improving marginally in the recent period, although it remained much higher than those of the other sectors (Chart 2.3 a).

In the personal loans category, asset quality of SCBs improved across all segments, except for vehicle/ auto loans (Chart 2.3 b). Within the industrial sub-sectors, asset quality exhibited sustained improvement across all sub-sectors barring food processing (Chart 2.3 c).

Chart 2.3: Sectoral Asset Quality Indicators

II.1.4 Credit Quality of Large Borrowers6

2.10 The share of large borrowers in total credit of SCBs remained steady at around 44.0 per cent but their share in gross NPAs declined significantly over the past few years to 33.8 per cent as on September 2025 (Chart 2.4 a). Asset quality exhibited considerable improvement across bank groups, with the aggregate GNPA ratio falling from 3.0 per cent in March 2024 to 1.6 per cent in September 2025 (Chart 2.4 b).

2.11 SMA-1 and SMA-2 loans saw contraction in volume at end-September over end-June 2025, while that of SMA-07 loans marginally increased (Chart 2.4 c). Credit quality of large borrowers was broadly in line with external ratings. A significant portion (36.6 per cent) of large borrowers’ advances, with GNPA ratio at 3.5 per cent, had no external ratings (Chart 2.4 d).

Chart 2.4: Select Asset Quality Indicators of Large Borrowers

II.1.5 Earnings and Profitability

2.12 NII growth (y-o-y) of SCBs declined sharply to 2.3 per cent in September 2025 as compared with the earlier periods (Chart 2.5 a). The decline was seen across all bank groups. Consequently, the growth in profit of SCBs slowed further in September 2025, as indicated by profit after tax (PAT) growth at 3.8 per cent (y-o-y) compared to double digit growth in 2023-24 and 2024-25. Contribution of other operating income (OOI) to PAT increased in the current financial year (Chart 2.5 b).

Chart 2.5: Select Performance Indicators of SCBs (Contd.)

Chart 2.5: Select Performance Indicators of SCBs (Concld.)

2.13 Net interest margin (NIM) recorded a broadbased 20 bps fall in September 2025 over March 2025 due to relatively higher decline in yield on assets than in cost of funds (Chart 2.5 c, d and e). Both return on equity (RoE) and return on assets (RoA) ratios have declined in the last two half years, but remained at comfortable levels (Chart 2.5 f and g).

II.1.6 Capital Adequacy

2.14 As of September 2025, the capital to risk weighted assets ratio (CRAR) across bank groups remained strong, PSBs at 16.0 per cent and PVBs at 18.1 per cent (Chart 2.6 a). CET1 capital ratio also remained high across bank groups, indicating accretion of high-quality capital by banks. The overall Tier 1 leverage ratio8 increased in September 2025 (Chart 2.6 b).

Chart 2.6: Capital Adequacy

II.1.7 Liquidity

2.15 PSBs and FBs improved their liquidity positions further in September 2025, as evident from the strengthening of both liquidity coverage ratio (LCR)9 and net stable funding ratio (NSFR)10 over March 2025. Both LCR and NSFR have been above regulatory minimum across bank groups (Chart 2.7 a and b).

II.1.8 Resilience – Macro Stress Test

2.16 Macro stress test assesses the resilience of SCBs to withstand adverse macroeconomic shocks. The test attempts to project the capital ratios of banks over a one-and-half year horizon under three scenarios – a baseline and two adverse macro scenarios. While the baseline scenario was derived from the latest forecasted paths of the macroeconomic variables, the two adverse scenarios are hypothetically stringent stress scenarios11 (Chart 2.8).

(i) Adverse Scenario 1: This scenario assumed that a gradual slowdown in global growth, on account of heightened economic uncertainty as well as lingering geopolitical conflicts, would lead to a gradual drop in domestic GDP growth and a moderate rise in domestic inflation over time. It is also assumed that central bank would have limited policy space to ease policy rate to boost growth.

(ii) Adverse Scenario 2: This scenario assumed that global trade uncertainties, unfavourable trade deals and higher trade gap would result in a sharp dent in the domestic GDP growth. Further, capital outflows, currency depreciation and supply dislocations would push up inflation beyond the tolerance band over time. The scenario further assumed that the central bank would tighten monetary policy.

Chart 2.7: Liquidity Ratios

Chart 2.8: Macro Scenario Assumptions

2.17 The macro stress test results reaffirmed the resilience of SCBs to the assumed macroeconomic shocks. The results revealed that the aggregate CRAR of 46 major SCBs may drop from 17.1 per cent in September 2025 to 16.8 per cent by March 2027 under the baseline scenario. It may fall to 14.5 per cent and 14.1 per cent under the hypothetical adverse scenarios 1 and 2, respectively (Chart 2.9 a). However, none of the banks would fall short of the minimum CRAR requirement of 9 per cent even under the adverse scenarios. Two banks may require to dip into the capital conservation buffer (CCB) under adverse scenario 1, while four banks may require dipping into the CCB under adverse scenario 2, if stakeholders do not infuse any further capital into these banks (Chart 2.9 b).

Chart 2.9: CRAR Projections

2.18 The CET1 capital ratio of the select 46 banks may marginally improve from 14.6 per cent in September 2025 to 14.8 per cent by March 2027 under the baseline scenario. However, it may decrease to 12.7 per cent and 12.3 percent under adverse scenario 1 and adverse scenario 2, respectively. All banks would be able to meet the minimum CET1 ratio requirement including CCB of 8 per cent, under all these scenarios (Chart 2.10).

2.19 The aggregate GNPA ratio of the 46 banks may improve from 2.1 per cent in September 2025 to 1.9 per cent in March 2027 under the baseline scenario. It may rise to 3.2 per cent and 4.2 per cent, under adverse scenarios 1 and 2, respectively (Chart 2.11).

Chart 2.10: Projection of CET1 Capital Ratio

Chart 2.11: Projection of GNPA Ratio
(Per cent)

II.1.9 Sensitivity Analysis12

2.20 Unlike macro stress tests, in which the shocks are applied in terms of adverse macroeconomic conditions, in sensitivity analyses13, shocks are applied to single factors like GNPA, interest rate, etc., one shock at a time. This sub-section presents the results of top-down sensitivity analyses involving several single-factor shocks to assess the vulnerabilities of SCBs towards simulated credit, interest rate, liquidity risks under various stress scenarios, based on data as of September 2025.

a. Credit Risk

2.21 In credit risk sensitivity analyses, the two assumed stress scenarios were - (i) one standard deviation (SD)14 [Shock 1] and (ii) two SD [Shock 2] rise in the aggregate level GNPA ratio as of September 2025.

2.22 Under the more severe shock scenario viz., Shock 2, the aggregate GNPA ratio of 46 select SCBs would move up from 2.1 per cent to 8.1 per cent, which would cause depletion in the CRAR and CET1 capital ratios by 380 bps and 370 bps, respectively. However, both the capital ratios would remain well above the respective regulatory minimum levels (Chart 2.12 a). The resultant capital impairment at the system level could be 23.5 per cent. The reverse stress test showed that shocks of 4.3 SD and 6.2 SD on the aggregate GNPA ratio would be required to bring down the system-level CRAR and the CET1 capital ratio, respectively, below their regulatory minimum.

2.23 At bank group level, stress tests indicated relatively higher depletion in the capital of PSBs as compared to PVBs and FBs (Chart 2.12 b). At bank level, six banks with a share of 15 per cent in SCBs’ total assets, would breach the regulatory minimum level of CRAR under Shock 2 (Chart 2.12 c).

Chart 2.12: Credit Risk – Shocks and Outcomes

b. Credit Concentration Risk

2.24 Stress tests on banks’ credit concentration showed that in the extreme scenario of default15 in payment by the top three individual borrowers, in terms of standard exposure of respective banks, the system level GNPA ratio would rise by 350 bps, and CRAR and CET1 ratio would decline by 90 bps and 80 bps, respectively (Chart 2.13 a). Instead of individual borrowers, if top three group borrowers fail to repay, the impact would be more severe in the form of 520 bps rise in the GNPA ratio and 130 bps fall in both capital ratios (Chart 2.13 b). However, CRAR of none of the banks would fall below the regulatory minimum in both the cases.

2.25 In assessing the system-wide impact of the large borrowers, the concentration of the top16 hundred borrowers waned in the last two years, as reflected by the continuous decline in the CR- 100 ratio17. The Credit Concentration Risk Index (CCRI)18, estimated based on top 100 borrowers, also continued to decline sequentially over the past few quarters, affirming decrease in concentration risk among the top 100 borrowers (Chart 2.14).

Chart 2.13: Credit Concentration Risk – Borrowers Exposure
(System level ratios in per cent)

c. Sectoral Credit Risk

2.26 Stress tests to assess credit risk of major industry sub-sectors, applying shocks (1 and 2 SD) to the respective sub-sector-wise GNPA ratios, indicated minimal impact on the capital of SCBs at aggregate level (Table 2.2).

Chart 2.14: Credit Concentration Risk posed by Top 100 Borrowers
(Ratio, left scale; per cent, right scale)

Table 2.2: Sensitivity Analysis – Industry sub-sector level
(Basis points, in descending order for top 10 most sensitive
sub-sectors)

d. Interest Rate Risk19 20

2.27 For the sample of 46 SCBs under assessment, the market value of investments declined in successive quarters to ₹22.8 lakh crore in September 2025 from the peak of ₹23.8 lakh crore in March 2025 (Chart 2.15). PSBs’ share was on a rise during the same period with corresponding fall in the share of FBs while the share of PVBs was observed to be broadly stagnant since the last five quarters.

2.28 The sensitivity (PV0121) of both the AFS and FVPTL (including HFT) portfolios of SCBs at aggregate level declined in September 2025, mainly due to fall in portfolio size and modified duration (Table 2.3). On the contrary, PV01 increased in both the portfolios for PSBs and in the AFS portfolio in case of PVBs.

Chart 2.15: AFS and FVTPL (including HFT) Portfolios and share of

Table 2.3: PV01 of AFS and FVTPL (including HFT) Portfolios
(in ₹ crore)
  AFS Portfolio FVTPL (including HFT) Portfolio
  Mar-25 Sep-25 Mar-25 Sep-25
PSBs 234.6 246.4 51.3 85.7
PVBs 90.3 95.5 107.5 86.9
FBs 56.4 18.9 330.3 232.2
All SCBs 381.3 360.8 489.1 404.8
Sources: Individual bank submissions and staff estimates.

2.29 In a stress scenario of a parallel upward shift of 250 bps in the yield curve, the impact on the fair-valued portfolio would reduce the system level CRAR and CET1 ratio by 96 bps and 97 bps, respectively (Table 2.4). At a disaggregated level, the CRAR of one foreign bank would fall below the regulatory minimum of 9 per cent.

2.30 The HTM portfolio continued to display the same trend - both the PSBs and PVBs increasing their holding of state government securities (SGSs) while paring their holdings in central government securities (G-Secs) and other HTM-eligible securities. FBs, in contrary, had minimal holding of SGSs and sizeable share of other securities. They continued to increase holding of G-Secs while reducing the share of the other securities (Chart 2.16).

2.31 As at end-September 2025, the notional MTM gains in the HTM books of PSBs and PVBs together decreased to ₹43,137 crore (₹64,148 crore as at end-March 2025). Unrealised gains declined across most categories of the HTM book. Unrealised gains of PSBs were predominantly in corporate securities and others (Chart 2.17).

Table 2.4: Interest Rate Risk – Impact of Stress Test on Bank-groups
(Shock: 250 basis points parallel upward shift of the INR yield curve)
  PSBs PVBs FBs All SCBs
AFS FVTPL
(incl. HFT)
AFS FVTPL
(incl. HFT)
AFS FVTPL
(incl. HFT)
AFS FVTPL
(incl. HFT)
Modified Duration (year) 3.3 3.6 2.1 3.1 0.8 7.3 2.5 4.8
Share in total Investments (per cent) 18.2 5.8 17.9 10.9 35.9 48.0 19.7 11.4
Reduction in CRAR (bps) 91 51 372 96
Reduction in CET1 (bps) 92 52 376 97
Note: Share of total investments has been computed excluding investment in associates, subsidiaries and JVs.
Sources: Individual bank submissions and staff estimates.

2.32 If a shock of 250 bps parallel upward shift in the yield curve is applied, the MTM impact on the HTM portfolio of banks excluding unrealised gains/ losses would reduce the system level CRAR and CET1 ratio by 302 bps each. However, no bank would fall short in maintaining respective regulatory minima.

2.33 An assessment of the interest rate risk of banks using traditional gap analysis (TGA) for rate sensitive global assets, liabilities and off-balance sheet items showed that for a 200 bps increase in interest rate, the earnings at risk (EAR) for time buckets up to one year for PSBs and PVBs would be at 13.1 per cent and 11.5 per cent of NII, respectively (Table 2.5). The impact would be minimal for FBs and SFBs. The impact of an interest rate rise (fall) on earnings would be positive (negative) for PSBs, PVBs and FBs, as the cumulative gap at bank group level was positive while the same for SFBs would be negative. The direction of impact for each bank group has remained the same as that of March 2025.

Chart 2.16: HTM Portfolio – Composition
(Percentage share)

2.34 As per the duration gap analysis (DGA) of risk sensitive global assets, liabilities and off-balance sheet items, the market value of equity (MVE) for PVBs, FBs and SFBs would fall (rise) from an upward (downward) movement in the interest rate, while the impact on PSBs would be positive. The estimated impact of the shock for FBs and SFBs has risen since March 2025. The MVE of SFBs would be particularly weighed down by an interest rate rise (Table 2.6).

Chart 2.17: HTM Portfolio – Unrealised Gain/Loss as on
September 30, 2025
(Amount in ₹ ‘000 crore, left scale; basis points, right scale)

Table 2.5: Earnings at Risk (EAR) – Traditional Gap Analysis (TGA)
Bank Group Earnings at Risk (till one year) as percentage of Net Interest Income (NII) as on September 2025
100 bps increase 200 bps increase
PSBs 6.5 (6.6) 13.1 (13.3)
PVBs 5.7 (5.7) 11.5 (11.4)
FBs 1.4 (1.3) 2.8 (2.6)
SFBs -0.6 (-0.8) -1.2 (-1.7)
Note: Figures in parenthesis represent the values as of March 2025.
Sources: RBI supervisory returns; and staff estimates.

e. Equity Price Risk

2.35 As banks have limited direct capital market exposures, any impact of a possible significant fall in equity market prices on banks’ CRAR is expected to be minimal. Shocks due to correction in equity prices, in form of reduction of 25, 35 and 55 per cent on the capital market exposure of the select banks, indicated moderation of the impact on CRAR in September 2025 over March 2025 (Chart 2.18).

Chart 2.18: Equity Price Risk – Fall in System Level CRAR
(Basis points)

Table 2.6: Market Value of Equity (MVE) – Duration Gap Analysis (DGA)
Bank Group Market Value of Equity (MVE) as percentage of Equity as on September 2025
100 bps increase 200 bps increase
PSBs 0.8 (0.5) 1.7 (1.0)
PVBs -1.3 (-1.3) -2.7 (-2.5)
FBs -2.6 (-3.2) -5.1 (-6.4)
SFBs -6.7 (-5.8) -13.3 (-11.6)
Note: Figures in parenthesis represent the values as of March 2025.
Sources: RBI supervisory returns; and staff estimates.

f. Liquidity Risk

2.36 Liquidity stress test attempts to assess the impact of shocks in terms of plausible run on deposits and higher demand for unutilised portions of committed credit and liquidity facilities on the liquidity positions of select 46 SCBs. The baseline scenario for the stress test applied weights to each component as prescribed by the RBI guidelines on LCR computation22. Two stress scenarios were designed by applying higher weights (run-off rates) to certain cash outflow components23.

2.37 The results showed that the aggregate LCR of the select SCBs would fall from 131.0 per cent in the baseline scenario to 123.3 per cent in stress scenario 1 and further to 116.8 per cent in stress scenario 2 (Chart 2.19 a). Individually, under the more severe stress scenario 2, three banks would fail to meet the regulatory minimum LCR requirement (Chart 2.19 b). Among bank groups, the impact of liquidity stress is the highest for PSBs (decline of 16.1 percentage points under stress scenario 2).

II.1.10 Sensitivity Analysis of Small Finance Banks – Credit Risk.

2.38 Credit risk sensitivity analysis for SFBs under two similar scenarios as for the SCBs has been carried out separately, due to their smaller size and higher capital requirement. Under a more severe shock of two SD increase in the GNPA ratio, the aggregate GNPA ratio of SFBs would move up by 390 bps causing fall in CRAR and CET1 ratio by 160 bps and 170 bps, respectively, while one bank would breach the regulatory minimum level of CRAR (Chart 2.20 a and b).

Chart 2.19: LCR-based Liquidity Stress Test


Chart 2.20: Credit Risk for SFBs – Shocks and Outcomes

II.1.11 Bottom-up Stress Tests: Derivatives Portfolio

2.39 A series of bottom-up stress tests (sensitivity analyses) were undertaken by select banks24, subjecting their derivatives portfolio as of September 2025 to four different shocks viz., two each based on interest rates and foreign exchange rates. The impact of interest rate shocks on the derivatives portfolio of the select banks, in terms of change in the net MTM position, was found to increase in September 2025 over that in March 2025 with almost equal extent of gain (loss) on same degree of rise (fall) of interest rate (Chart 2.21). As regards shocks in terms of the rupee exchange rate, the direction of the net MTM impact in September 2025 reversed relative to that observed in March 2025, suggesting a shift in the underlying currency risk positions.

Chart 2.21: MTM Impact of Shocks on Derivatives Portfolio of Select Banks
(Change in net MTM position on application of a shock, vis-à-vis baseline
as per cent of total capital)

2.40 The income from the derivatives portfolio includes changes in net MTM positions and the realised income. Among bank groups, the contribution of the derivatives portfolio to the net operating income (NOI) was seen to increase sharply for FBs in the last one year. The share for PSBs and PVBs have been relatively lower than FBs – it turned negative for PSBs while it remained at similar level for PVBs (Chart 2.22). Based on the notional principal amount, FBs had more diversified counterparties while most of the positions taken by PVBs and PSBs were with other banks.

Chart 2.22: Income from the Derivatives Portfolio
(Per cent of net operating income)

II.2 Primary (Urban) Cooperative Banks25

2.41 Credit extended by primary urban cooperative banks (UCBs)26 recorded a y-o-y growth of 7.4 per cent in September 2025, contributed by both scheduled UCBs (SUCBs) and non-scheduled UCBs (NSUCBs) (Chart 2.23 a).

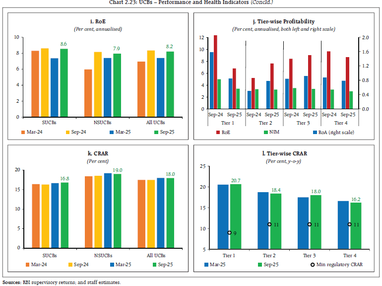
2.42 Asset quality, in terms of both GNPA ratio and NNPA ratio, improved in September 2025 as compared to a year ago (Chart 2.23 b). Similar pattern was evident in both SUCBs and NSUCBs and also in case of large borrowers, who account for 22.2 per cent of UCBs’ loan book (Chart 2.23 c). The PCR remained above its level a year ago, though it declined sharply from the previous half year level driven primarily by NSUCBs (Chart 2.23 d). Asset quality also improved over previous year across all tiers of UCBs, along with higher PCR, barring Tier 1 UCBs (Chart 2.23 e).

2.43 After contraction for two consecutive half-years, the growth in aggregate net interest income (NII) of UCBs turned positive in the half year ending September 2025. The reversal was driven by NSUCBs, which recorded a positive growth in NII, more than offsetting the continuing contraction in SUCBs’ NII for last three half years (Chart 2.23 f). The net interest margin (NIM), which was on a gradual decline across UCBs for the last three half years, stayed at 3.2 per cent (Chart 2.23 g). RoA and RoE remained at around similar level compared to that a year ago (Chart 2.23 h and i). Tier-wise, RoA and RoE declined for Tier 1 and Tier 4 UCBs over the previous year while the ratios increased for UCBs in the other two tiers. NIM declined across all tiers of UCBs as compared to a year ago (Chart 2.23 j).

Chart 2.23: UCBs – Performance and Health Indicators (Contd.)

Chart 2.23: UCBs – Performance and Health Indicators (Contd.)

Chart 2.23: UCBs – Performance and Health Indicators (Concld.)

2.44 The capital position of UCBs continued to remain strong with CRAR remained stable at 18 per cent in September 2025. CRAR of Tier 1 and Tier 3 UCBs strengthened y-o-y while it fell a bit for UCBs in the other two tiers27 (Chart 2.23 k and l).

II.2.1 Stress Testing

2.45 Stress tests were conducted on a select set of UCBs28 to assess credit risk (default risk and concentration risk), market risk (interest rate risk in trading book and banking book) and liquidity risk, based on their reported financial positions as at end-September 2025.

2.46 Under the severe stress scenarios of credit default risk, credit concentration risk and interest rate risk in the trading book, the consolidated CRAR of the select UCBs would fall from the pre-shock level of 17.5 per cent to 15.8 per cent, 14.2 per cent and 16.0 per cent, respectively (Chart 2.24 a). A severe interest rate shock in the banking book would lower the consolidated NII by 7.4 per cent. In case of liquidity stress test, the consolidated cumulative liquidity mismatch in the 1–28 days’ time bucket was positive, under all the three stress scenarios.

2.47 At individual UCB level, Tier 1 UCBs were found to fulfil the regulatory minimum CRAR under all shocks across risk categories. Within the Tier 4 UCB cohort – the largest segment with deposits above ₹10,000 crore each – one UCB would fail to meet the regulatory minimum CRAR requirement29 of 11 per cent under severe stress scenarios for both credit default risk and credit concentration risk (Chart 2.24 b and c).

2.48 In case of stress test for market risk, none of the Tier 4 UCBs would breach the regulatory minimum CRAR threshold due to the impact of interest rate shocks on their trading books or experience a decline of more than 20 per cent in NII in their banking books under any stress scenario. However, a few Tier 2 and Tier 3 UCBs may fall short of these requirements in the severe stress scenarios. A few UCBs in the weaker tail would face negative liquidity mismatch of more than 20 per cent in the 1-28 days’ time bucket under the severe stress scenario (Chart 2.24 d, e and f).

Chart 2.24: Stress Tests of UCBs (Contd.)

Chart 2.24: Stress Tests of UCBs (Concld.)

 

II.3 Non-Banking Financial Companies (NBFCs)30

2.49 The credit growth of NBFCs at aggregate level (Upper and Middle Layers) accelerated since March 2025 and was at 21.3 per cent31 (y-o-y) in September 2025, primarily due to the conversion of two housing finance companies (HFCs) into upper layer NBFCs in March 2025 and June 2025, while credit growth of middle layer (ML) NBFCs continued to decline (Chart 2.25 a).

2.50 Considering activity-based classification, credit growth for both NBFC-ICCs and NBFC-IFCs, which cover almost 98 per cent of aggregate credit, were strong (above 20.0 per cent). NBFC-MFI’s portfolio continued to contract in H1:2025-26 (Chart 2.25 b).

2.51 Credit growth accelerated and asset quality improved across broad economic sectors (viz., industry, services and retail segments) except for agriculture where NBFCs have minimal exposure (Chart 2.25 c and 2.25 d). Within retail segment, growth in microfinance/ SHG loans contracted in the last two half years (Chart 2.25 e).

2.52 On liquidity stock measures, despite increased CP issuances, NBFC-UL improved upon their short-term liabilities to total assets ratio (Chart 2.25 f). However, they continued to be more vulnerable on this front compared to NBFC-ML. Higher long-term assets to total assets ratio of NBFC-ML compared to NBFC-UL was due to the presence of NBFC-IFCs which mostly lend for longer term projects and account for more than half of NBFCML’s loans.

Chart 2.25: NBFC – Key Financial Parameters (Contd.)

Chart 2.25: NBFC – Key Financial Parameters (Concld.)

2.53 The credit growth of the upper layer NBFCs (NBFC-UL) remained strong. For the common set of NBFC-UL32, the credit growth showed some deceleration (Chart 2.26 a). The growth in funding through borrowing continued to outpace credit growth while GNPA ratio and PCR remained stable at March 2025 levels (Chart 2.26 b).

Chart 2.26: NBFC – Upper Layer – Key Financial Parameters (Contd.)

Chart 2.26: NBFC – Upper Layer – Key Financial Parameters (Concld.)

2.54 Credit by NBFC-UL accelerated towards the two dominant sectors viz., retail (loan share of 61.8 per cent) and services sectors (25.6 per cent) in September 2025 (Chart 2.26 c). At sectoral level, asset quality of retail loans, having 66.9 per cent of GNPA share, remained steady while those of services and industry sectors showed marginal deterioration (Chart 2.26 d).

2.55 NIM, RoA, RoE and the capital ratios, despite a declining trend, remained healthy (Chart 2.26 e and f).

2.56 On the basis of a common set33, there has been a slight acceleration in the credit growth of NBFC-ML from 11.9 per cent in March 2025 to 12.6 per cent in September 2025 (Chart 2.27 a). At an overall level, borrowing growth of NBFC-ML continued to keep pace with the credit growth. NBFC-ML has shown significant improvement in their asset quality since March 2023, while improving provision coverage (Chart 2.27 b).

2.57 Contrary to the NBFC-UL, NBFC-ML provided almost two-third (64.2 per cent) of their credit to the industry sector and it grew at around 17.0 per cent in the last two half years. Credit growth to other broad sectors, however, continued their declining trend (Chart 2.27 c). Asset quality, in terms of GNPA ratio, improved for all sectors (Chart 2.27 d).

Chart 2.27: NBFC – Middle Layer – Key Financial Parameters

2.58 The NIM continued to stay healthy at 3.8 per cent (Chart 2.27 e). The RoA and RoE fell in September 2025 but stayed above the recent lows. The capital ratios of NBFC-ML, despite their declining trend, stood at a much higher level relative to NBFC-UL (Chart 2.27 f).

2.59 While funding pattern for NBFCs at aggregate level remained similar to that a year ago, NBFC-UL’s share of borrowing from bank fell a tad with corresponding increase in debentures (non-bank) (Table 2.7). Dependence of NBFC-UL on bank borrowings was higher than NBFC-ML and the reverse in case of debentures (non-banks). More than 85 per cent of borrowings of NBFC-UL was secured while the same for NBFC-ML was around 45 per cent, translating to higher cost of funds for NBFC-ML.

2.60 Large borrowers’ share in GNPAs of NBFCs improved significantly while their share in overall credit remained steady (Chart 2.28 a). As credit growth continued to grow sharply, their asset quality has also improved steadily (Chart 2.28 b).

Table 2.7: NBFCs’ Sources of Funds
(Per cent)
Item Description NBFC-UL NBFC-ML NBFC- (UL+ML)
Sep-24 Sep-25 Sep-24 Sep-25 Sep-24 Sep-25
1. Share Capital, Reserves and Surplus 18.4 19.3 24.2 23.8 22.8 22.4
2. Total Borrowings 69.9 70.3 67.0 68.0 67.7 68.7
Of which: (i) Secured 60.8 61.4 32.5 30.8 39.6 40.1
(ii) Unsecured 9.1 8.9 34.5 37.1 28.1 28.5
(1) From banks 34.6 33.2 26.3 26.1 28.4 28.3
(a) Borrowings (Secured + Unsecured) 30.0 29.0 24.1 23.7 25.6 25.3
(b) Debentures subscribed 3.8 3.4 2.1 2.2 2.5 2.5
(c) CPs subscribed 0.8 0.9 0.2 0.2 0.4 0.4
(2) Debentures (excluding 2(1)(b)) 16.4 17.7 23.7 24.2 21.9 22.2
(3) Commercial paper (excluding 2(1)(c)) 2.7 2.7 1.4 1.6 1.8 2.0
3. Public Deposits 7.2 5.9 0.5 0.5 2.2 2.1
4. Provisions 3.2 3.0 3.3 2.8 3.3 2.9
5. Other Liabilities 1.3 1.4 5.0 5.0 4.1 3.9
Total 100 100 100 100 100 100
Sources: RBI supervisory returns; and staff estimates.

Chart 2.28: NBFCs – Credit Profile of Large Borrowers

II.3.1 Stress Test34 – Credit Risk

2.61 System level stress test under a baseline and two stress scenarios was conducted on a sample of 174 NBFCs35 over a one-year horizon for assessing the resilience of NBFC sector to credit risk shocks. While the baseline scenario was based on assumptions of business as usual, the medium and severe risk scenarios were derived by applying 1 SD and 2 SD shocks, respectively, to GNPA ratio.

2.62 Under the baseline scenario, the system-level GNPA ratio of the sample NBFCs may rise from 2.3 per cent in September 2025 to 2.9 percent in September 2026. Consequently, their aggregate CRAR may dip from 22.8 per cent to 21.7 per cent during the same period (Chart 2.29). Under the baseline scenario, 8 NBFCs may breach the minimum regulatory capital requirement of 15 per cent. Under the medium and severe stress scenarios, income loss and additional provisioning requirements may further reduce the aggregate CRAR by additional 58 bps and 75 bps, respectively. Under both the medium and severe stress scenarios, 11 NBFCs may not be able to meet the regulatory minimum CRAR.

Chart 2.29: Credit Risk in NBFCs – System Level (Per cent for GNPA ratio and CRAR, count for number of NBFCs)

II.3.2 Stress Test36 – Concentration Risk

2.63 Stress test on NBFCs’ credit concentration showed that in the extreme scenario of the top three individual borrowers of respective NBFCs defaulting37, the system level CRAR would decline by 223 bps (Chart 2.30 a) and an additional 9 NBFCs would face a situation of a drop in CRAR below the regulatory minimum of 15 per cent.

2.64 Under the extreme scenario of the top three group borrowers in the standard category failing to repay38, the system level CRAR would decline by 243 bps. Additional 8 NBFCs would witness a drop in CRAR below the regulatory minimum of 15 per cent (Chart 2.30 b).

Chart 2.30: Credit Concentration Risk – Exposures

II.3.3 Stress Test39 – Liquidity Risk

2.65 The resilience of the NBFC sector to liquidity shocks was assessed by estimating the impact of assumed increase in cash outflows coupled with decline in cash inflows40 on liquidity. The results revealed that the number of NBFCs which may experience negative cumulative liquidity mismatch of over 20 per cent in the next one year would be 3, 4 and 7 under the three scenarios, respectively (Table 2.8).

Table 2.8: Liquidity Risk in NBFCs
Cumulative Mismatch as percentage of Outflows over the next one year No. of NBFCs having Negative Mismatch
Baseline Medium High
Over 50 per cent 1 (0.04) 1 (0.04) 2 (0.07)
Between 20 to 50 per cent 2 (0.07) 3 (0.44) 5 (0.80)
Up to 20 per cent 4 (0.77) 21 (10.49) 41 (20.87)
Note: (i) Baseline scenario is based on projected outflows and inflows over the next one year; medium risk scenario assumes 5 per cent decrease in inflows and 5 per cent increase in outflows while high risk scenario assumes 10 per cent decrease in inflows and 10 per cent increase in outflows.
(ii) Figures in parentheses represent percentage share in asset size of the sample.
Sources: RBI supervisory returns; and staff estimates.

II.4 Stress Testing of Mutual Funds41

2.66 In November 2025, 18 open-ended debt schemes with total assets under management (AUM) of ₹1.68 lakh crore breached the AMFI or AMC prescribed threshold (Table 2.9). However, all the MFs have either cured the breach or reported initiation of remedial action to complete the same within the prescribed timeframe.

2.67 The liquidity ratios - redemption at risk (LR-RaR42) and conditional redemption at risk (LR-CRaR43) under the stress tests by top 10 AMCs (based on AUM) for 13 categories of open-ended debt schemes for September 2025 were mostly well above the respective threshold limits. A few instances of the ratios falling below the threshold limits were addressed by the respective AMCs in a timely manner (Chart 2.31).

Table 2.9: Stress Testing of Open-Ended Debt Schemes of Mutual Funds – Summary Findings – November 2025
  Risk above Threshold Risk below Threshold Total
No. of AMCs 13 38 51
No. of Schemes 18* 305 323
AUM (₹ lakh crore) 1.68 17.10 18.78
Note: * The number of schemes showing interest rate risk, credit risk and liquidity risk above the prescribed threshold is 12, 5 and one, respectively, while total number of unique schemes showing risk is 18. Source: SEBI.

2.68 Stress test results and liquidity analysis of midcap and smallcap equity schemes of all MFs, published by AMFI, revealed that in November 2025, the number of days to liquidate 25 per cent of the portfolio for the top 5 schemes (in terms of AUM) ranged from 4 to 22 days for midcap schemes and 12 to 36 days for smallcap schemes (Table 2.10).

Chart 2.31: Range (Surplus (+)/ Deficit (-)) of LR-RaR and LR-CRaR Maintained by AMCs over AMFI Prescribed Limits
(Per cent)

Table 2.10: Summary of Stress Tests and Liquidity Analysis of MF Midcap and Smallcap Schemes
Schemes/ Month Midcap Schemes Smallcap Schemes
May- 25 Jun- 25 Jul- 25 Aug- 25 Sep- 25 Oct- 25 Nov- 25 May- 25 Jun- 25 Jul- 25 Aug- 25 Sep- 25 Oct- 25 Nov- 25
No. of days to liquidate 25 per cent of portfolio - range for top 5 schemes w.r.t. AUM 4 to 16 4 to 16 5 to 19 5 to 19 5 to 22 5 to 22 4 to 22 11 to 30 12 to 29 10 to 29 9 to 35 12 to 36 11 to 32 12 to 36
Concentration- Assets side (AUM held in per cent) Largecap 11.3 11.8 13.4 14 13.8 13.5 13.2 8.1 8.3 7.9 8.0 8.3 8.6 8.5
Midcap 67.6 69.1 67.8 68.3 68.3 68.9 69.6 10.7 10.8 12.6 12.5 12.6 12.5 12.8
Smallcap 13.8 13.7 13.4 13.3 13.3 13.1 13.0 74.2 74.7 73.3 72.8 72.4 72.8 72.8
Cash 7.3 5.3 5.4 4.4 4.5 4.5 4.2 7 6.2 6.2 6.8 6.7 6.1 5.9
Source: AMFI.

II.5 Stress Testing Analysis at Clearing Corporations44

2.69 Stress testing was carried out at clearing corporations (CCs) in the Indian securities market to determine the segment-wise minimum required corpus (MRC) of the core settlement guarantee fund (Core SGF). Stress test analysis for the period April 2025 to November 2025 indicated that the actual MRC requirement remained the same for most of the segments, except for the commodity derivatives segment wherein the requirement increased for CCs 1 and 3 and equity derivatives segment wherein the requirement increased for CCs 2 during the period (Table 2.11).

II.6 Financial Network and Contagion Analysis

2.70 Interconnections among financial institutions stem from funding relationships, liquidity mismatches and maturity transformation, payment and settlement processes and risk transfer mechanisms. The financial system can be visualised as a network where financial institutions act as nodes and the bilateral exposures among them serve as links connecting these nodes. These links could be in the form of loans to, investments in, or deposits with each other, which act as a source of funding, liquidity, investment and risk diversification. While these links enable gains in efficiency and diversification of risks, they can become conduits of risk transmission and amplification in a crisis. Understanding the nuances in propagation of risks through these networks is useful for devising appropriate policy responses for safeguarding financial and macroeconomic stability.

II.6.1 Financial System Network 45 46

2.71 The total outstanding bilateral exposures47 among the select 282 entities expanded at a growth rate of 20.1 per cent in September 2025. SCBs continued to hold the largest share (42.6 per cent) in the network followed by NBFCs (16.6 per cent) and AMC-MFs (14.9 per cent) (Chart 2.32 a and b).

Table 2.11: Minimum Required Corpus of Core SGF Based on Stress Testing Analysis at Clearing Corporations
(₹ crore)
Segment Apr-25 May-25 Jun-25 Jul-25 Aug-25 Sep-25 Oct-25 Nov-25
Clearing Corporation 1
Average Stress Test Loss
Equity Cash Segment 71 255 200 50 205 82 67 196
Equity Derivatives Segment 6,266 7,389 7,890 8,241 7,638 9,063 8,942 9,289
Currency Derivatives Segment 81 54 58 44 42 54 101 89
Debt Segment 0 0 0 0 0 0 0 0
Tri-Party Repo Segment 0 0 0 0 0 0 0 0
Commodity Derivatives Segment 2 1 1 2 9 15 7 7
Total 6,420 7,699 8,149 8,337 7,894 9,214 9,117 9,581
Actual MRC Requirement
Equity Cash Segment 388 388 388 388 388 388 388 388
Equity Derivatives Segment 10,500 10,500 10,500 10,500 10,500 10,500 10,500 10,500
Currency Derivatives Segment 242 161 161 161 161 161 161 161
Debt Segment 4 4 4 4 4 4 4 4
Tri-Party Repo Segment 17 17 17 17 17 17 17 17
Commodity Derivatives Segment 10 10 10 10 10 10 10 15
Total 11,161 11,080 11,080 11,080 11,080 11,080 11,080 11,085
Clearing Corporation 2
Average Stress Test Loss
Equity Cash Segment 35 25 49 23 25 51 44 31
Equity Derivatives Segment 350 402 431 469 673 683 723 733
Currency Derivatives Segment 1 0 1 0 0 0 1 0
Debt Segment 0 0 0 0 0 0 0 0
Tri-Party Repo Segment 0 0 0 0 0 0 0 0
Commodity Derivatives Segment 0 0 0 0 0 0 0 0
Total 385 427 480 493 698 734 768 763
Actual MRC Requirement
Equity Cash Segment 194 194 194 194 194 194 194 194
Equity Derivatives Segment 555 555 555 555 555 555 673 683
Currency Derivatives Segment 10 10 10 10 10 10 10 10
Debt Segment 0 0 0 0 0 0 0 0
Tri-Party Repo Segment 0 0 0 0 0 0 0 0
Commodity Derivatives Segment 14 14 14 14 14 14 14 14
Total 773 773 773 773 773 773 891 901
Clearing Corporation 3 (Commodity Derivatives Segment)
Average Stress Test Loss 433 426 717 653 761 935 990 653
Actual MRC requirement 626 626 626 626 717 717 761 935
Clearing Corporation 4 (Commodity Derivatives Segment)
Average Stress Test Loss 64 63 63 61 60 46 43 42
Actual MRC requirement 124 124 124 124 124 124 124 124
Notes: (1) Average Stress Test Loss calculated for a month M is applicable, as MRC, from the month M+2.
(2) SEBI, vide letter dated March 27, 2025, has permitted Clearing Corporations 1 and 2 for the resetting of Minimum Required Corpus (MRC) of the currency derivatives segment and subsequent transfer of funds to the core SGF of the equity derivatives segment. Accordingly, MRC for the core SGF of currency derivatives segment has been reset based on the highest stress losses observed since May 2024, subject to a minimum threshold of ₹10 crore. Hence, there is a decrease in the MRC value for currency derivatives segment for Clearing Corporation 1 from May 2025 onwards on account of reduced volumes in currency derivatives segment.
Source: Clearing Corporations.

2.72 The interconnections of AIFIs, NBFCs, HFCs and AMC-MFs are skewed towards SCBs revealing bank-led interconnectedness in the financial system. AIFIs are very closely connected to SCBs through both liabilities and assets (Chart 2.32 c).

Chart 2.32: Bilateral Exposures between Entities in the Financial System

2.73 Loans and advances, capital/ equity investments and long-term (LT) debt instruments remained the leading instruments in bilateral exposure (Chart 2.33). Long-term (LT) funding out of these instruments continued to dominate with around 66.0 per cent share in the total bilateral exposures as at end-September 2025. The share of loans and advances decreased year-on-year while that of equity and short-term (ST) loans increased moderately.

2.74 In terms of inter-sectoral exposures48, AMC-MFs, insurance companies and PSBs remained the largest fund providers in the system while NBFCs, PVBs and HFCs were the largest receivers of funds. Among bank groups, PSBs, UCBs and FBs had net receivable positions whereas PVBs and SFBs had net payable positions (Chart 2.34).

Chart 2.34: Network Plot of the Financial System – September 2025

2.75 The net receivable and net payable positions of all leading fund providers and receivers, except PVBs, increased in September 2025 over a year ago (Chart 2.35).

Chart 2.33: Instrument-wise Exposure among Entities in the Financial System
(Per cent)

Chart 2.35: Net Receivables (+ve)/ Payables (-ve) by Categories of Institutions
(Amount in ₹ lakh crore)

a. Inter-Bank Market

2.76 Inter-bank exposures as percent of the total assets of the banking system fell a bit in the last two quarters and stood at 3.3 per cent, along with similar decline in fund-based exposures49 while non-fund-based exposures50 remained steady (Chart 2.36 a).

2.77 PSBs’ dominance in the inter-bank market increased during the quarter ended September 2025 to 60.4 per cent share while the share of PVBs witnessed corresponding decrease, reversing the trend in recent quarters (Chart 2.36 b).

Chart 2.36: Inter-Bank Market

2.78 Dominance of ST funding increased to 79 per cent of the fund-based inter-bank market as at end-September 2025 compared to 77 per cent at end-March 2025. At the sub-components level, ST deposits and ST loans constituted more than 70 per cent of ST funds while LT loans and LT debt comprised a major share of LT funds. (Chart 2.37 a and b).

b. Inter-Bank Market: Network Structure and Connectivity

2.79 The interconnections between entities in the inter-bank market network was highly skewed, with majority of banks having few links and a few banks having many links, as reflected by the typical core-periphery network structure51 52. As of end-September 2025, four banks were in the inner-most core and six banks were in the mid-core circle, consisting of PSBs and PVBs (Chart 2.38).

2.80 The degree of interconnectedness among SCBs, measured by the connectivity ratio53, decreased marginally as at end-September 2025 and the local interconnectedness in terms of the cluster coefficient54 also decreased (Chart 2.39).

c. Exposure of AMC-MFs

2.81 Gross receivables of AMC-MFs, the largest fund providers, increased to ₹23.27 lakh crore in September 2025, from ₹20.68 lakh crore in March 2025, against their gross payables of ₹1.79 lakh crore. SCBs (primarily PVBs) remained the major recipients of funds from AMC-MFs, followed by NBFCs, AIFIs and HFCs (Chart 2.40 a).

Chart 2.37: Composition of Fund-based Inter-Bank Market

Chart 2.38: Network Structure of the Indian Banking System (SCBs + SUCBs) – September 2025

Chart 2.39: Connectivity Statistics of the Banking System (SCBs)
(Ratio)

2.82 More than half of the funding by the AMC-MFs continued to be in form of equity holdings. Funding through CDs, LT debt and CPs marginally decreased over the positions a year ago (Chart 2.40 b).

Chart 2.40: Gross Receivables of AMC-MFs from the Financial System

d. Exposure of Insurance Companies

2.83 With gross receivables at ₹12.85 lakh crore against gross payables at ₹1.25 lakh crore, insurance companies were the second largest net providers of funds to the financial system as at end-September 2025. SCBs (primarily PVBs) were the largest recipients of their funds, followed by NBFCs and HFCs.

2.84 Insurance companies provided funds mostly though LT debt and equity, accounting for 88 per cent of receivables, with limited exposure to ST instruments (Charts 2.41 a and b).

e. Exposure to NBFCs (Non-HFCs)

2.85 NBFCs (Non-HFCs) were the largest net borrowers of funds from the financial system, with higher gross payables at ₹24.25 lakh crore against gross receivables at ₹2.94 lakh crore as at end-September 2025. More than half of their funds continued to be sourced from SCBs, followed by insurance companies and AMC-MFs (Chart 2.42 a).

2.86 LT loans and LT debt continued to be the preferred mode of funding for NBFCs (Non-HFCs). The share of ST funding instruments (ST loans and CPs) also increased during the same period (Chart 2.42 b).

Chart 2.41: Gross Receivables of Insurance Companies from the Financial System

Chart 2.42: Gross Payables of NBFCs to the Financial System

f. Exposure to HFCs

2.87 HFCs, the third largest net borrowers, had gross payables at ₹7.21 lakh crore against gross receivables of ₹0.19 lakh crore in September 2025. SCBs continued to be the top fund providers although their share was seen to increase with corresponding decrease in funding from AMC-MFs and insurance companies. About 74.5 per cent of HFCs’ funds was sourced through LT loans and LT debt instruments (Chart 2.43 a and b).

g. Exposure of AIFIs

2.88 With gross payables and receivables at ₹10.02 lakh crore and ₹7.85 lakh crore, respectively, AIFIs were both active borrowers and lenders in the financial system and had net payables position of around ₹2 lakh crore in September 2025. While the AIFIs raised funds mainly from SCBs, AMC-MFs and insurance companies, they were observed to lend to SCBs predominantly (78.7 per cent in September 2025). (Chart 2.44 a and b).

Chart 2.43: Gross Payables of HFCs to the Financial System

Chart 2.44: Gross Payables and Receivables of AIFIs to the Financial System

II.6.2 Contagion Analysis

2.89 Contagion analysis uses network technology to estimate the systemic importance of different financial institutions. The failure of a bank due to solvency and/ or liquidity losses would lead to contagion impact on the banking system along with the financial system. The failure of the bank would depend on the initial capital and liquidity position along with the number, nature (whether it is a lender or a borrower) and magnitude of the interconnections that it has with the rest of the banking system.

a. Joint Solvency55 – Liquidity56 Contagion Impact on SCBs due to Bank Failure

2.90 A contagion analysis of the banking network as at the end-September 2025 position indicated that if the bank with the maximum capacity to cause contagion losses failed, it would cause a solvency loss of 2.3 per cent (as compared to 3.4 per cent in March 2025) of the total Tier 1 capital of SCBs and a liquidity loss of 0.4 per cent (0.3 per cent in March 2025) of the total HQLA of the banking system. (Table 2.12).

b. Solvency Contagion Impact on SCBs due to NBFC/ HFC Failure

2.91 NBFCs (Non-HFCs) and HFCs are among the largest borrowers of funds from the financial system, with a substantial part of funding from banks. Therefore, failure of any NBFC or HFC would act as a solvency shock to their lenders which can spread through contagion.

Table 2.12: Contagion Losses due to Bank Failure – September 2025
Name of Bank Solvency Losses as per cent of Tier 1 Capital of the Banking System Liquidity Losses as per cent of HQLA Number of Banks Defaulting due to Solvency Number of Banks Defaulting due to Liquidity
Bank 1 2.3 0.4 0 0
Bank 2 1.9 0.3 0 0
Bank 3 1.9 0.3 0 0
Bank 4 1.7 0.1 0 0
Bank 5 1.1 0.0 0 0
Note: Top five ‘Trigger banks’ have been selected based on solvency losses caused to the banking system.
Sources: RBI supervisory returns; and staff estimates.

2.92 As at end-September 2025, the hypothetical failure of the NBFC with the maximum capacity to cause solvency losses to the banking system would have knocked off 3.0 per cent (2.9 per cent in March 2025) of the latter’s total Tier 1 capital and hypothetical failure of such top HFC would have knocked off 3.6 per cent (3.7 per cent in March 2025) (Tables 2.13 and 2.14). However, in both the cases, it would not lead to any bank falling short in maintaining regulatory minimum capital.

2.93 Further, in terms of the impact and vulnerability metrics developed for identification of the impactful and vulnerable bank, one bank was found to be both impactful and vulnerable in September 2025.

c. Solvency Contagion Impact after Macroeconomic Shocks to SCBs

2.94 On the application of the hypothetical stress scenarios considered under the macro stress test57, the capital gain(-)/ loss(+) at aggregate level stood at (-) 0.6 per cent, 12.6 per cent and 15.5 per cent of Tier I capital under the baseline, adverse scenario 1 and adverse scenario 2, respectively. Each of the banks would be able to maintain the Tier 1 capital ratio of 7 per cent under all three scenarios. Consequently, there would be no additional solvency losses to the banking system due to contagion (over and above the initial loss of capital due to the macro shocks) (Chart 2.45).

Table 2.13: Contagion Losses due to NBFCs Failure – September 2025
NBFC Name Solvency Losses as per cent of Tier 1 Capital of the Banking System Number of Banks Defaulting due to Solvency
NBFC 1 3.0 0
NBFC 2 2.6 0
NBFC 3 2.2 0
NBFC 4 1.8 0
NBFC 5 1.8 0
Note: Only Private NBFCs are considered. Top five ‘Trigger NBFCs’ have been selected on the basis of solvency losses caused to the banking system.
Sources: RBI supervisory returns; and staff estimates.

Chart 2.45: Solvency Contagion Impact of Macroeconomic Shocks
(Per cent)

Table 2.14: Contagion Losses due to HFC Failure – September 2025
HFC Name Solvency Losses as per cent of Tier 1 Capital of the Banking System Number of Banks Defaulting due to Solvency
HFC 1 3.6 0
HFC 2 1.4 0
HFC 3 1.1 0
HFC 4 0.8 0
HFC 5 0.5 0
Note: Top five ‘Trigger HFCs’ have been selected on the basis of solvency losses caused to the banking system.
Sources: RBI supervisory returns; and staff estimates.

II.7 Insurance Sector

2.95 India’s insurance sector remains a systemically significant component of the financial system owing to its scale, investment footprint, and interconnectedness. Moreover, it facilitates risk transfer and mobilisation of long-term savings.

II.7.1 Premium Profile

2.96 Total premium income grew to ₹11.9 lakh crore in 2024-25 from ₹8.3 lakh crore in 2020-21, reflecting consistent market expansion and stable financial intermediation capacity. However, total insurance premium masks a significant growth moderation, as the growth rates for both life and non-life sectors have slowed sharply (Chart 2.46 a and c). This deceleration suggests that the post-COVID demand surge for risk mitigation may have subsided. At a sectoral level, the life (protection and savings) sector exhibits a high concentration risk, while the non-life sector has undergone a structural shift, with health emerging as the leading segment (Chart 2.46 b and d). Furthermore, product concentration in both life and non-life sectors indicates limited progress in diversification.

II.7.2 Assets under Management (AUM)

2.97 Total AUM of the insurance sector reached ₹74.4 lakh crore as on March 31, 2025 with life insurers accounting for 91 per cent of total investments, underscoring the sector’s deepening financial footprint and its growing significance as a primary institutional investor in the economy. The investment portfolio remains structured, with around 59 per cent in government securities and 30 per cent in approved investments (Chart 2.47 a and b). As regards asset allocation, sovereign debt continue to be dominant. However, in a competitive financial landscape, this conservative allocation creates challenges in consistently meeting policyholders’ reasonable expectations, potentially reducing the attractiveness of long-term insurance savings products relative to other financial instruments offering superior risk-adjusted returns. The heavy reliance on sovereign debt also reflects structural limitations within the domestic financial markets rather than discretionary caution. The stagnation in non-government investment shares suggests a shortage of “quality paper”—specifically high-rated, long-duration corporate bonds that match insurers’ liability profiles.

Chart 2.46: Life and Non-life sectors – Total Premium and Sector-wise Premium Share

II.7.3 Insurance Penetration and Density58

2.98 Insurance density (premium per capita) shows a steady increase from US$ 78 in 2020-21 to US$ 97 in 2024-25 reflecting rising absolute spending on insurance by households and firms. In contrast, the simultaneous fall in penetration (premium as percentage of GDP) indicates that income and output are growing faster. The share of insurance in overall economic activity not increasing commensurately underscores the need for broadening inclusion through product innovation, distribution reforms and demand side measures. (Table 2.15).

II.7.4 Market structure and concentration

2.99 The life insurance sector remains highly concentrated (top-5 life insurers – 82 per cent), with the largest insurer retaining a dominant share of business, while private life insurers have steadily expanded their presence. The concentrated structure of the life insurance market anchors investors for long-term government securities but creates concentration risk as distress in any of the major players could have broad market effects. The non-life sector is more diversified, though public sector entities continue to hold a meaningful share (Chart 2.48 a and b).

Chart 2.47: Insurance Sector – AUM

Table 2.15: Insurance Penetration and Density
Particulars 2020-21 2021-22 2022-23 2023-24 2024-25
Insurance Penetration (per cent) 4.2 4.2 4 3.7 3.7
Insurance Density (in $) 78 91 92 95 97
Source: IRDAI.

II.7.5 Settlement of Claims

2.100 Total benefits paid by life insurers have registered a significant upward trajectory, rising from around ₹4 lakh crore in 2020-21 to ₹6.3 lakh crore in 2024-25. The composition of benefits signals a concerning shift from scheduled maturities to unscheduled exits. The rising proportion of surrenders and withdrawals poses a potential risk to asset liability management. (Chart 2.49 a and b).

2.101 The net incurred claims by non-life insurers have registered a consistent and significant upward trajectory, escalating from approximately ₹1.1 lakh crore in 2020-21 to nearly ₹1.9 lakh crore in 2024- 25. The composition of claims underscores the dominance of two critical retail segments: health and motor. Together, they account for approximately 85 per cent of the total net incurred claims throughout the 2020-21 to 2024-25 periods (Chart 2.50 a and b). Medical cost escalation and rising claim frequency of health segment, and higher vehicle repair costs and claim awards of motor segment are putting significant pressure for premium enhancements to maintain underwriting stability.

II.7.6 Expenses

2.102 A distinct divergence in cost efficiency is evident between public and private life insurers. Public life insurers show a strong focus on expense management and potentially lower acquisition costs underlined by flat commission structure despite growing premiums. In contrast, private life insurers show a steep increase in commission pay-outs particularly surging from 2022-23 onwards indicating business acquisition at higher marginal cost. Their operating expenses have also remained higher and sticky (Chart 2.51 a and b).

 

Chart 2.48: Insurance Sector – Market Share of Top 5 Insurers

 

Chart 2.49: Benefits paid by Life Insurers

2.103 In the non-life sector, public insurers demonstrate a stable but high expense base. While their premiums have grown steadily, operating expenses spiked in 2022-23 before moderating, and commission costs have remained low and flat, reflecting their reliance on established, lower-cost distribution channels. Conversely, private non-life insurers exhibit a more aggressive cost-growth dynamic. Their commission expenses have escalated sharply. This points to a high-cost distribution-led growth strategy, potentially impacting underwriting margins (Chart 2.52 a and b).

II.7.7 Reinsurance

2.104 Total volume of reinsurance ceded by general and health insurers have expanded significantly from approximately ₹58,900 crore in 2020-21 to around ₹86,300 crore in 2024-25. This risk transfer accompanies a notable structural shift in placement of reinsurance. While the absolute amount ceded “Within India” has grown by 1.3 times from roughly ₹44,900 crore to ₹57,000 crore, reinsurance ceded “Outside India” has more than doubled, rising from around ₹14,000 crore in 2020-21 to over ₹29,000 crore in 2024-25. (Chart 2.53).

 

Chart 2.50: Net Incurred Claims by Non-life Insurers

 

Chart 2.51: Expenses – Life Insurers

 

Chart 2.52: Expenses – Non-life Insurers

2.105 This growing reliance on cross-border reinsurance suggests that the domestic market’s capacity may not be keeping pace with the specialized or large-scale risk transfer needs of Indian insurers, necessitating greater recourse to global markets. Strengthening domestic reinsurance capabilities through regulatory incentives or new entrants may help retain more premium within the national financial ecosystem, reduce the sector’s vulnerability to external rate hardening, and mitigate the pressure on the balance of payments.

 

Chart 2.53: Reinsurance
(₹ '000 crore)

II.7.8 Profitability

2.106 Public life insurers demonstrate a robust and consistent upward trajectory, with investment income growing steadily while that of private insurers exhibit significant volatility. The public insurers saw their profit after tax (PAT) leap from a modest ₹2,901 crore in 2020-21 to ₹36,397 crore in 2022-23 driven predominantly by a one-time transfer and the private insurers, while consistently profitable, show much more modest growth. (Chart 2.54 a and b).

2.107 The non-life sector saw lower profitability, as underwriting losses persisted across most segments. Nonetheless, private insurers have demonstrated robust and growing profits, successfully leveraging investment returns to offset underwriting deficits. (Chart 2.55 a and b).

II.7.9 Equity Share Capital

2.108 The life insurance sector has witnessed a sustained, albeit fluctuating, expansion in its equity base while the non-life insurance sector demonstrates a more linear and aggressive capital fortification trend. Overall, comparing the two sectors reveals a convergence in total equity capital levels by 2024-25, with both sectors hovering around the ₹40,000–₹43,000 crore mark (Chart 2.56 a and b).

II.7.10 Solvency

2.109 The life insurance sector’s linear improvement offers a higher degree of predictability and resilience, whereas the non-life insurance sector’s capital position appears more sensitive to quarterly operational and market shifts. The solvency ratio of the life insurance sector has steadily grown from 2.01 in Q2:2024-25 to 2.15 by Q1:2025-26, reflecting a clear trend of capital accumulation. This continuous improvement, with the ratio remaining comfortably above the regulatory threshold of 1.50, indicates that life insurers are prioritizing balance sheet fortification alongside business growth (Chart 2.57 a).

 

Chart 2.54: Profitability Measures – Life Insurance Sector

 

Chart 2.55: Profitability Measures – Non-life Insurance Sector

2.110 The solvency ratio in the non-life insurance sector, rebounded during the period under review after a dip in Q3:2024-25, providing. adequate coverage above the regulatory minimum. However, occasional volatility warrants continued monitoring of capital adequacy relative to risk exposure (Chart 2.57 b).

2.111 Overall, the insurance sector continues to display balance sheet resilience, supported by adequate capital buffers, steady capital accretion and solvency ratios that remain above prescribed regulatory thresholds at the aggregate level. The GST exemption introduced in September 2025 for all individual life and individual health insurance policies is likely to strengthen the sector’s premium-generation trajectory, providing insurers with a larger pool of long-duration liabilities that can be channelled into sovereign and infrastructure assets. Moreover, the enactment of Sabka Bima Sabki Raksha Act, 2025 and increase in FDI limit to 100 per cent are expected to transform the sector.

 

Chart 2.56: Insurance Sector - Equity Share Capital

 

Chart 2.57: Insurance Sector – Solvency

II.7.11 Emerging Areas of Stress

2.112 While posing no near-term systemic risks, the surface-level stability masks emerging structural pressures that could weigh on medium-term sustainability and coverage expansion.

2.113 A primary pressure is the persistence of a high expense structure, particularly the acquisition costs. Premium growth has been increasingly driven by high-cost distribution-led strategies rather than operating efficiency. In non-life sector, commission growth has significantly outpaced other operating expenses. While in life sector, frontloaded acquisition costs limited the extent to which scale efficiencies are passed on to policyholders. Furthermore, expected benefits from digitisation remain unrealised.

2.114 Underwriting outcomes are impacted adversely. In non-life sector, high acquisition costs and claims inflation contribute to persistent underwriting losses, increasing reliance on investment income and diluting technical pricing discipline. In life sector, front-loaded expenses compress early policy value, leading to higher surrenders and weaker persistency. These trends add uncertainty to liability profiles and cash flows, even as solvency remains comfortable.

2.115 A meaningful expansion of coverage is also constrained by the high expense structures. With high distribution costs embedded in pricing, affordability is reduced, leading to a divergence between insurance density and penetration. Growth largely reflects higher spending by existing policyholders rather than a broadening of the insured base.

2.116 From a financial stability perspective, continuously elevated expenses could weaken profitability buffers and amplify cyclical vulnerabilities. A reorientation towards cost rationalisation, aligning intermediary incentives with persistency and value to policyholders, and wider adoption of technology-enabled low-cost distribution models is essential. Supported by regulatory initiatives like risk-based capital framework, enhanced disclosures, and strengthened market conduct standards, a sustained moderation in expense intensity would improve consumer value, reinforce the sector’s long-term resilience, and facilitate transition from the current “high-cost, low-inclusion” to “affordable-cost, broad inclusion and high quality” equilibrium.


1 Analyses are mainly based on data reported by banks through RBI’s supervisory returns covering only domestic operations of SCBs, except in the case of data on large borrowers, which are based on banks’ global operations. SCBs include public sector banks, private sector banks, foreign banks and small finance banks.

2 The analyses are based on the provisional data available as of December 10, 2025.

3 Private sector banks’ data for September 2023 quarter onwards are inclusive of the merger of a large housing finance company with a private bank and, the data may not be comparable to past periods before the merger (applicable for all charts and tables).

4 Personal loans refer to loans given to individuals and consist of (a) consumer credit, (b) education loan, (c) loans given for creating/ enhancement of immovable assets (e.g., housing, etc.) and (d) loans given for investment in financial assets (shares, debentures, etc.)

5 Write-off ratio is defined as the ratio of write-offs to GNPAs. Write-offs include technical/ prudential write-offs and compromise settlement and may be subject to future recovery.

6 A large borrower is defined as one who has aggregate fund-based and non-fund-based exposure of ₹5 crore and above with any bank. This analysis is based on SCBs’ global operations.

7 Special mention account (SMA) is defined as

a) Loans in the nature of revolving facilities like cash credit/ overdraft: if outstanding balance remains continuously in excess of the sanctioned limit or drawing power, whichever is lower, for a period of 31-60 days - SMA-1 ;61-90 days - SMA-2.

b) Loans other than revolving facilities: if principal or interest payment or any other amount wholly or partly overdue remains outstanding up to 30 days - SMA-0; 31-60 days - SMA-1; 61-90 days - SMA-2.

8 Tier I leverage ratio is the ratio of Tier I capital to total exposure.

9 Liquidity coverage ratio is defined as the ratio of stock of high-quality liquid assets (HQLA) to the total net cash outflow over the next 30 calendar days.

10 Net stable funding ratio is defined as the ratio of available net stable funding to required net stable funding.

11 Based on assumption of stringent adverse shocks to macroeconomic variables and the values are derived by performing simulations using a Vector Autoregression with Exogenous variables (VARX) model.

12 Detailed methodology is provided in Annex 1.

13 Single factor sensitivity analyses are conducted for a sample of 46 SCBs accounting for 99 per cent of the total assets of SCBs (excluding RRBs). The shocks designed under various hypothetical scenarios are extreme but plausible.

14 The SD of the GNPA ratio is estimated by using quarterly data for the last 10 years.

15 In the case of default, the individual borrower in the standard category is considered to move to the sub-standard category.

16 In terms of total funded amount outstanding, as reported under CRILC.

17 CR-100 ratio is the proportion of credit outstanding with the top 100 borrowers to the total outstanding credit of SCBs.

18 CCRI is an index (ranging between 0 and 1) that measures the distribution of impact of the top 100 borrowers on the aggregate capital of all SCBs. This novel metric was introduced in the FSR June 2025 (Box 2.1).

19 Prior period consistency and comparability may be limited as historical data has not been recast using the updated accounting standards.

20 The analysis in this portion is restricted to investments in India by the domestic operations of SCBs. Only interest rate related instruments for HTM, AFS and FVTPL (including HFT) portfolios and both interest and non-interest related investments for “Investment in Subsidiaries, Associates and Joint Ventures” are taken into account.

21 PV01 is a measure of sensitivity of the absolute value of the portfolio to a one basis point change in the interest rate.

22 RBI circular no. RBI/2013-14/635 DBOD.BP.BC.No.120/21.04.098/2013-14 dated June 09, 2014, on “Basel III Framework on Liquidity Standards – Liquidity Coverage Ratio (LCR), Liquidity Risk Monitoring Tools and LCR Disclosure Standards”.

23 The stress scenarios are described in Annex 1.

24 Stress tests on derivatives portfolios are conducted by a sample of 36 banks constituting active authorised dealers and interest rate swap counterparties. Details of test scenarios are given in Annex 1.

25 Data are provisional and based on submission by UCBs through RBI supervisory returns.

26 Based on common sample of 1,389 UCBs covering over 90 per cent of gross loans extended by all UCBs.

27 Revised Regulatory Framework for Urban Co-operative Banks (UCBs) – Net Worth and Capital Adequacy (circular DOR.CAP.REC.No.86/09.18.201/2022- 23 dated December 01, 2022 and DOR.CAP.REC. No.109/09.18.201/2022-23 dated March 28, 2023).

28 The stress test is conducted with reference to the financial position of September 2025 for select 205 UCBs with asset size of more than ₹500 crore, excluding banks under the Reserve Bank’s All Inclusive Directions (AID). These 205 UCBs together cover around 72 per cent of the total assets of the UCB sector. The detailed methodology used for stress test is given in Annex 1.

29 The regulatory minimum CRAR for Tier 1 UCBs is 9 per cent and for the UCBs in Tier 2, Tier 3 and Tier 4 is 11 per cent. Further, UCBs in Tier 2, Tier 3 and Tier 4 shall achieve the CRAR of at least 12 per cent by March 31, 2026.

30 The analyses done in this section are based on the provisional data available for NBFCs in Upper Layer and Middle Layer excluding CICs, HFCs and SPDs, but includes companies presently under resolution as of September 22, 2025. Prior period consistency and comparability may be limited as NBFC data has been reclassified based on scale-based regulation. The effect of mergers and reclassifications, if any, has not been considered for recasting historical data.

31 For a common sample of NBFCs, the y-o-y growth rate was 14.7 per cent at end-September 2025 (14.6 per cent at end-March 2025).

32 For March 2025, the common set of NBFC-ULs consists of common NBFCs in Upper Layer in March 2024 and March 2025. Similarly for September 2025, the common set of NBFC-ULs consists of common NBFCs in Upper Layer in September 2024 and September 2025.

33 For March 2025, the common set of NBFC-MLs consists of NBFCs in Middle Layer in March 2024 and March 2025. Similarly for September 2025, the common set of NBFC-MLs consists of NBFCs in Middle Layer in September 2024 and September 2025.

34 The detailed methodology used for stress tests of NBFCs is provided in Annex 1.

35 The sample comprised of 174 NBFCs in the Upper Layer and Middle Layer with total advances of ₹30.74 lakh crore as of September 2025, which form around 95 per cent of total advances of non-Government NBFCs. The sample for stress tests excluded Government NBFCs, companies presently under resolution, stand-alone primary dealers and investment focused companies.

36 The detailed methodology used for stress tests of NBFCs is provided in Annex 1.

37 In the case of default, the individual borrower in the standard category is considered to move to the sub-standard category.

38 In the case of default, the group borrower in the standard category is considered to move to the sub-standard category.

39 The detailed methodology used for stress tests of NBFCs is provided in Annex 1.

40 Stress testing based on liquidity risk was performed on a sample of 261 NBFCs in the Upper Layer and the Middle Layer. The total asset size of the sample was ₹ 41.22 lakh crore, comprising around 99 per cent of total assets of non-government, non- CIC NBFCs in the sector.

41 The detailed methodology used for stress tests of Mutual Funds is provided in Annex 1.

42 Represents likely outflows at a given confidence interval.

43 Represents the behaviour of the tail at the given confidence interval.

44 Details on the conduct and methodology of the stress tests are given in Annex 1.

45 The network model used in the analysis has been developed by Professor Sheri Markose (University of Essex) and Dr. Simone Giansante (Bath University) in collaboration with the Financial Stability Department, Reserve Bank of India.

46 Number of entities under the analysis is increased to 282 (from 229 in last FSR June 2025) considering increasing size for more comprehensive analysis. The entities are from the following eight categories: [88 SCBs, 33 scheduled UCBs (SUCBs); 31 AMC-MFs (covering about 99 per cent of the total AUM of the domestic mutual fund industry); 52 NBFCs (both deposit taking and non-deposit taking systemically important companies, covering about 80 per cent of total NBFC assets); 36 insurance companies (covering around 98 per cent of assets of the sector); 26 HFCs (covering around 94 per cent of total HFC assets); 11 PFs and 5 AIFIs (NABARD, EXIM, NHB, SIDBI and NaBFID)].

47 Bilateral exposures include exposures between entities of the same group. Exposures are outstanding position as on September 30, 2025 and are broadly divided into fund-based (viz., money market instruments, deposits, loans and advances, long-term debt instruments and equity investments) and non-fund-based exposure (viz., letter of credit, bank guarantee and derivatives instruments (excluding settlement guaranteed by CCIL)).

48 Inter-sectoral exposures do not include transactions among entities of the same sector in the financial system.

49 Fund-based exposures include both short-term exposures (covering data in seven categories – repos (non-centrally cleared); call money; commercial papers; certificates of deposits; short-term loans; short-term deposits and other short-term exposures) and long-term exposures (covering data in five categories – Equity; Long-term Debt; Long-term loans; Long-term deposits and Other long-term liabilities).

50 Non-Fund based exposures include - outstanding bank guarantees, outstanding Letters of Credit, and positive mark-to-market positions in the derivatives market (except those exposures for which settlement is guaranteed by the CCIL).

51 The diagrammatic representation of the network of the banking system is that of a tiered structure, in which different banks have different degrees or levels of connectivity with others in the network. The most connected banks are in the inner-most core (at the centre of the network diagram). Banks are then placed in the mid-core, outer core and the periphery (concentric circles around the centre in the diagram), based on their level of relative connectivity. The colour coding of the links in the tiered network diagram represents borrowings from different tiers in the network (for example, the green links represent borrowings from the banks in the inner core). Each ball represents a bank and they are weighted according to their net positions vis-à-vis all other banks in the system. The lines linking each bank are weighted on the basis of outstanding exposures.

52 77 SCBs, 11 SFBs and 33 SUCBs were considered for this analysis.

53 The Connectivity ratio measures the actual number of links between the nodes relative to all possible links in a complete network.

54 Cluster Coefficient: Clustering in networks measures how interconnected each node is. Specifically, there should be an increased probability that two of a node’s neighbours (banks’ counterparties in case of the financial network) are also neighbours themselves. A high cluster coefficient for the network corresponds with high local interconnectedness prevailing in the system.

55 In solvency contagion analysis, gross loss to the banking system owing to a domino effect of hypothetical failure of one or more borrower banks is ascertained. Failure criterion for contagion analysis has been taken as Tier 1 capital falling below 7 per cent.

56 In liquidity contagion analysis, a bank is considered to have failed when its liquid assets are not enough to tide over a liquidity stress caused by the hypothetical failure of large net lender. Liquid assets are measured as: 18 per cent of NDTL + excess SLR + excess CRR.

57 The contagion analysis used the results of the macro-stress tests and made the following assumptions:

(a) The projected losses under a macro scenario (calculated as reduction in projected Tier 1 CRAR, in percentage terms, in March 2027 with respect to the actual value in September 2025) were applied to the September 2025 capital position assuming proportionally similar balance sheet structures for both September 2025 and March 2027.

(b) Bilateral exposures between financial entities are assumed to be similar for September 2025 and March 2027.

58 Insurance Penetration is the ratio of total insurance premiums (Life and Non-Life combined, unless specified otherwise) to a country’s Gross Domestic Product (GDP), expressed as a percentage.

Insurance Density is the average per capita spending on insurance, calculated as total insurance premiums (Life and Non-Life combined, unless specified) divided by the total population of the country.

RbiTtsCommonUtility

PLAYING
LISTEN

Related Assets

RBI-Install-RBI-Content-Global

Install the RBI mobile application and get quick access to the latest news!

Scan the QR code to install our app

RbiWasItHelpfulUtility

Page Last Updated on:

Was this page helpful?